题目

已知A证券收益率的标准差为0.2,B证券收益率的标准差为0.5,A、B两者之间收益率的协方差是0.06,则A、B两者之间收益率的相关系数为( )。


A: 0.1

B: 0.2

C: 0.25

D: 0.6

单选题
有疑问?求助专家解答吧。
添加老师咨询
下载会计APP
答案解析

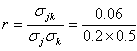
【答案】D

【解析】      =0.6。
答案选 D
相关题目
猜你喜欢
cfa的a和b区别 2022-09-29 14:10:40